300x250
파동은 코사인과 사인함수로 다루는데 이는 harmonic wave를 표현하는 데 불편하다. 그래서 파동 함수를 복소수를 이용해 쉽게 계산하고자 한다.
복소수 z는 다음과 같이 실수부와 허수부로 나타낼 수 있다.

Re : 복소수의 실수 부분만을 나타내라는 기호
Im : 복소수의 허수 부분만을 나타내라는 기호
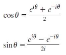
오일러 공식을 사용해서,


실수부와 허수부는 다음과 같이 기술할 수 있고



파동을 복소수 형태로 표현하기 위해서는 일반적으로 다음과 같이 실수부로만 표현한다.

이것은

와 동등한 식이다. 그리고 편의상 광학에서는 Re를 생략해서 사용한다.

⭐
👉 위와 같이 복소수를 이용하면 계산이 편리하고, 계산결과를 얻은 후에서 복소수의 실수부를 취하여 실제 파동을 표현한다.
👉 위 파동의 복소수는 덧셈, 뺄셈, 곱셈, 나눗셈, 미분, 적분이 가능하지만
👉 벡터 내적, 외적은 계산할 수 없다.
출처:
300x250
'슬기로운 공대생활 > 광학' 카테고리의 다른 글
| Ch8. 편광 (2) | 2024.12.17 |
|---|---|
| Ch13.7 흡수, 방출과 산란 (2) | 2024.11.25 |
| Ch2. Wave Motion (파동운동) - 위상과 위상속도 (1) | 2024.05.07 |
| Ch2. Wave Motion (파동운동) - 조화파 (0) | 2024.05.07 |
| Ch2. Wave Motion (파동운동) - 1차원 파동 (1) | 2024.05.07 |